Futility Closet

An idler's miscellany of compendious amusements

  • About
  • Blog
  • Podcast
  • Contact

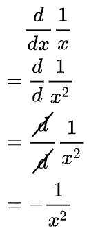
Okay Then

https://en.wikipedia.org/wiki/Mathematical_fallacy#Howlers

December 2, 2025December 1, 2025 | Science & Math

Post navigation

← Upgrade
The Roving Wazir →

Explore

Random Post

Archives

Categories

  • Art
  • Crime
  • Death
  • Entertainment
  • History
  • Hoaxes
  • Humor
  • Language
  • Literature
  • Oddities
  • Podcast
  • Poems
  • Puzzles
  • Quotations
  • Religion
  • Science & Math
  • Society
  • Technology
  • Trivia
  • Uncategorized

Follow

Subscribe by Email

Enter your email address to receive notifications of new blog posts by email.

Site Admin

  • Log in

Info

  • About Futility Closet
  • Podcast
  • Books
  • Store
  • Chess notation
  • Contact/Submissions

ABOUT

Futility Closet is a collection of entertaining curiosities in history, literature, language, art, philosophy, and mathematics, designed to help you waste time as enjoyably as possible.

You can read Futility Closet on the web, subscribe by RSS, or sign up to receive a free daily email — see “Subscribe by Email” in the sidebar.

CREDITS

© Futility Closet 2005-2026